Petermann technológiai lexikon

A kristályok optimális hangolása az IC-khez

Gyakorlati útmutató elektronikai fejlesztők számára

Ahhoz, hogy egy kristályoszcillátor (egy IC oszcillátorfokozatában lévő rezgőkristály) stabilan, pontosan és megbízhatóan rezegjen, a használt kristályt optimálisan kell illeszteni az adott IC követelményeihez.

A terhelési kapacitások, a tranziens körülmények, a meghajtási szint (kvarcáram) és a NYÁK-on lévő elrendezési tényezők itt döntő tényezők.

Ez a cikk kompakt és gyakorlatias módon ismerteti, hogyan kell helyesen hangolni egy kristályos órajel-generátort, és milyen hibák fordulnak elő különösen gyakran a gyakorlatban.

A. Miért kell a kristályokat és az IC-ket hangolni?

A kristályok frekvenciameghatározó alkatrészek, amelyek pontossága nagymértékben függ az elektromos környezetüktől. A mikrokontroller-gyártók jellemzően

  • a szükséges terhelési kapacitást (CL)
  • megengedett meghajtószint
  • előírt indítási idő
  • Oszcillátor topológia és belső erősítés

Csak akkor működik az oszcillátor a tűréshatárokon belül, ha ezek a paraméterek illeszkednek a kristályhoz, és teljesíti az időzítési követelményeket, például a vezeték nélküli, USB, CAN, Ethernet, UART baud-sebességeket stb.

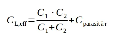
B. A terhelhetőség (CL) szerepe

A terhelési kapacitás határozza meg a rezgési frekvencia működési pontját. Minden kristály egy adott CL-re van trimmelve (pl. 8 pF, 12 pF, 16 pF).

Az effektív terhelési kapacitás a következőkből adódik:

C. A külső kapacitások méretezése

A C1 és C2 külső kapacitásokat úgy kell megválasztani, hogy:

Tipikus irányértékek:

Kvarc CL

C1/C2 kiindulási érték

6 pF12-15 pF
8 pF15-18 pF
12,5 pF18-20 pF

A pontos beállítás gyakran mérésekkel vagy a gyártó ajánlásával történik.

Számítási példaként:

Kérdés: "Milyen külső kapacitásokat kell csatlakoztatnom egy CL 12pF-es kristályhoz?"

A fenti képlet alapján a következő számítás adódik:

182 osztva 36-tal plusz 2pF = 18 pF (CX1 és CX2 egyenként 18pF-nek kell lennie a GND-hez).

A vevői áramkörökben rezgő kristályaink áramkörön belüli mérései 2pF kóbor kapacitást(C parazita) mutattak ki, mint nagyon megbízható átlagos paramétert.

Vannak azonban olyan IC-gyártók is, akik adatlapjaikon akár 7pF-os XIN/XOUT kapacitív terhelést is leírnak. Ezért fontos, hogy a kristályoszcillátor áramköri kapacitásának kiszámítása előtt újra elolvassa az adatlapot, hogy lássa, milyen kapacitív terhelést adhatnak meg az XIN/XOUT számára.

Ha a kristályoszcillátort nagyobb hosszú távú pontosságot igénylő alkalmazásban kell használni, például vezeték nélküli alkalmazásokban az ISM-sávban, akkor 1%-os tolerált áramköri kapacitások használatát javasoljuk.

D. Hajtási szint és teljesítményveszteség

A meghajtási szint (jellemzően 1-200 µW) jelzi, hogy a kvarc mekkora teljesítményt képes tartósan elviselni.

A túl magas meghajtási szint

  • Fokozott öregedés és drift
  • Fokozott frekvenciastabilitás
  • A soros rezonanciaellenállás növekedése
  • Hibás meghibásodások a kvarclemezkék repedései miatt

A túl alacsony meghajtási szint a következőket okozza

  • megbízhatatlan indítás
  • Megnövekedett jitter értékek

Az oszcillátor IC-k általában megadják a tipikus és a maximális meghajtószintet; mérés ajánlott.

Mivel az általunk szállított SMD-kristályok rezonátorkonstrukcióit házon belül fejlesztjük ki, kis kerámia házakban is tudunk nagy meghajtószint-stabilitású MHz-es oszcillátorkristályokat szállítani. Az SMD03025/4 sorozat alacsony ESR-jű minikristálya 500 µW-ig, az SMD02016/4 sorozat ultraminiatűr MHz-kristálya pedig 400 µW-ig.

 

További információ itt: Meghajtószint- és kristályáram-mérés

E. Indítási idő (indítási idő)

A kezdési időpont függ:

  • Az IC-ben lévő oszcillátor erősítésétől.
  • Kvarc ESR (ekvivalens soros ellenállás)
  • A kvarcoszcillátor terhelési kapacitása
  • A külső áramköri kapacitások értékei
  • Hőmérséklet és tápfeszültség

A túlzott CL-értékek gyakran jelentősen meghosszabbítják az indítási időt → problémás az alvóciklusú, alacsony fogyasztású MCU-k esetében.

 

Bővebben itt: A kristályoszcillátor indítási idejének mérése

F. ESR - egy alábecsült paraméter

Az ESR befolyásolja

  • tranziens viselkedés és tranziens stabilitás
  • Energiafogyasztás
  • Tranziens viselkedés alacsony kvarcáramnál

Sok IC-nél meg van adva egy maximális ESR (pl. 70 Ω). Ha a kristály e fölött van, az oszcillátor nem tud biztonságosan elindulni.

 

További információ itt: A kvarckristály ESR-jének (ekvivalens soros ellenállás) ellenőrzése

F.1: Miért van az oszcillátorfokozatoknak negatív bemeneti ellenállása?

A kapacitív Pierce-oszcillátorokban - a mikrokontrollerekben messze a leggyakrabban használt topológia - az IC belső invertere egy olyan analóg működési tartományban működik, amelyben negatív impedanciájú erősítőként viselkedik. Ez a negatív bemeneti ellenállás (-Rneg) szándékos, és biztosítja, hogy:

  • a kristály energiát kap az oszcillátor áramkörből,
  • a kristályban lévő veszteségek (ESR) kompenzálódnak,
  • az oszcilláció önállóan növekszik és stabil lesz.

Leegyszerűsítve, a kiindulási feltétel a következő

Ez azt jelenti: A negatív bemeneti ellenállás értékének nagyobbnak kell lennie, mint a kristály soros ellenállásának (ESR).

Csak ekkor lesz olyan nettó erősítés, amely oszcillációhoz vezet.

 

Bővebben itt olvashat: Negatív bemeneti ellenállás -Rneg és tranziens biztonsági tartalék ellenőrzése

 

F.2: A tranziens válasz biztonságának befolyásolása

Ha a negatív bemeneti ellenállás összege túl kicsi (azaz -Rneg túl gyenge), a következő történik:

  • A kristály túl kevés energiát kap → lassú vagy semmilyen oszcilláció
  • A rezgés csak magasabb tápfeszültségnél vagy hőmérsékleten indul meg
  • A kis teljesítményű üzemmódokban az indítás megbízhatatlanná válik

.

Típusos ok:
A hatékonyság érdekében egyes modern MCU-k gyengébb oszcillátorerősítőkkel rendelkeznek, ami azt jelenti, hogy -Rneg kisebb, mint a régebbi IC-generációkban. Ugyanakkor sok terv kis terhelési kapacitásokkal vagy hosszú nyomvonalakkal dolgozik, ami növeli a parazita veszteségeket.

 

F.3: Miért különösen fontosak az alacsony ESR-rel rendelkező kristályok

A kvarckristály ESR-je határozza meg a belső veszteségeit. Az alacsony ESR azt jelenti:

  • Kisebb veszteségek
  • Kisebb ellenerősítés szükséges
  • magas tranziens válasz megbízhatósága még gyenge oszcillátorfokozatok esetén is
  • Kisebb indítási idő
  • Szabályosabb oszcilláció a hőmérséklet függvényében

.

gyakorlati ajánlás:
- Olyan kristályokat használjunk, amelyek ESR értéke jóval az IC által megadott maximális érték alatt van.
- Ha egy mikrokontroller pl. max. 70 Ω ESR-t ad meg, akkor egy 30-50 Ω ESR kristály az ideális. Ez elegendő biztonsági tartalékot hagy az oszcillátor esetlegesen alacsony negatív bemeneti ellenállásával szemben.

 

Tovább itt olvashat: A kvarc ESR-jének (ekvivalens soros ellenállás) ellenőrzése

 

F.4: Következtetés a -Rneg és a kvarc ESR kölcsönhatására vonatkozóan

A rezgésbiztonság alapvetően a következőktől függ:

  • a belső oszcillátor elegendő negatív bemeneti ellenállást biztosít,
  • a kristály megfelelően alacsony ESR-rel rendelkezik,
  • a terhelési kapacitások megfelelően vannak méretezve.

Csak ha a -Rneg és az ESR aránya megfelelő, akkor a kvarc gyorsan, megbízhatóan és a teljes hőmérséklet- és feszültségtartományban elindul.

 

Bővebben itt: A negatív bemeneti ellenállás -Rneg és az indítási biztonsági tartalék ellenőrzése

G. Elrendezési ajánlások

A kristályokra a következők vonatkoznak:

  • A kristályt + a kondenzátorokat a lehető legközelebb kell elhelyezni az IC-hez.
  • Rövid, szimmetrikus nyomvonalak
  • Ne legyenek jelek vagy földsíkok közvetlenül a kristály alatt - csökkenti a parazita kapacitást.
  • Dedikált GND-sziget a kondenzátorok számára.
  • Ha lehetséges, csatlakoztassa a kristályt a GND-hez (a kerámia házban lévő SMD oszcilláló kristályaink esetében a 2. és 4. pads a GND-hez csatlakoztatható. De kérjük, hogy a kristályt azonnal csatlakoztassa GND-re, és ne változtassa meg az áramkör frekvenciahangolásához.

Ezek az intézkedések javítják az EMC-t, a jittert és az indítási viselkedést.

 

Bővebben itt olvashat: Layout-ellenőrzés a kész lapon - a jitter, az EMC és az indítási viselkedés ellenőrzése

H. Gyakori hibák a gyakorlatban

  • Helytelen CL kiválasztás → Frekvenciahiba
  • Túl magas ESR-rel rendelkező kristály → Nem indul megbízhatóan
  • Meghajtási szint túllépése → a kristály erősen driftel
  • Rossz elrendezés → Instabil oszcilláció
  • Parazita kapacitások helytelenül figyelembe véve

I. Következtetés

A kristály és az IC optimális illesztése döntő fontosságú az oszcillátor megbízhatósága és a kristályrezonátor hosszú távú működése szempontjából az áramkörben (meghajtószint-illesztés). A megfelelő terhelési kapacitás, a megfelelő meghajtószint, a megfelelő ESR és a jó elrendezés segítségével a fejlesztők stabil frekvenciareferenciákat biztosíthatnak.

Az oszcillátordiagramok technikai magyarázata

Áttekintés

A bemutatott ábrák azokat a fizikai és elektromos mechanizmusokat írják le, amelyek meghatározzák a kvarcstabilizált Pierce-oszcillátor indítási és működési viselkedését. A hangsúly különösen a következőkre helyeződik

  • az oszcillátorfokozat negatív bemeneti ellenállása,
  • a kvarckristály veszteségmodellje (ESR),
  • a Barkhausen-kritérium szerinti indítási feltétel,
  • a meghajtószint időbeli szerkezete,
  • parazita kapacitások és
  • az elrendezéssel kapcsolatos befolyásoló tényezők.

Ezek a paraméterek meghatározóak a bekapcsolási biztonsági tartalék, a bekapcsolási idő, a frekvenciapontosság, a jitter és a hosszú távú stabilitás szempontjából.

1. Pierce oszcillátor és negatív bemeneti ellenállás

(bal felső illusztráció)

Ez az ábra a klasszikus Pierce-oszcillátor áramkört mutatja, ahogyan azt a legtöbb mikrokontrollerbe és ASIC-be beépítik. A Pierce-oszcillátor alapja egy invertáló erősítő, amelyet a kvarckristályon keresztül történő visszacsatolás lineáris működésre kényszerít. Ebben a működési pontban a bemeneti fokozat egy kisjelű egyenértékű modellel írható le , amelynek impedanciája negatív reálrész.

Matematikailag a következő érvényes:

Ez a negatív ellenállás egy aktív energiaforrást jelent, amely kompenzálja a kvarcban fellépő veszteségeket.

A -Rneg fontos tulajdonságai:

  • függ a tápfeszültségtől, a hőmérséklettől és a folyamatváltozástól
  • erősen befolyásolják a belső előfeszítő hálózatok
  • szándékosan csökkentik az alacsony fogyasztású tervekben

.

Technikai jelentősége:

  • Az IC belső invertere a lineáris tartományban működik, és úgy viselkedik, mint egy negatív ellenállás (-Rₙₑg).
  • Ez a negatív bemeneti ellenállás kompenzálja a kvarc veszteségeit (annak ESR-jét).
  • Kizárólag elegendő negatív impedancia megléte esetén növekedhet az oszcilláció.

Magállapítás:
Az oszcillátorfokozat szolgáltatja az energiát - a kristály határozza meg a frekvenciát.

 

Bővebben itt: Negatív bemeneti ellenállás -Rneg és tranziens biztonsági tartalék ellenőrzése

2. a kvarckristály terhelhetőségi modellje

(középső felső ábra)

Ez az ábra a kvarckristályt mutatja a két külső áramköri kondenzátorral C₁ és C₂.

A kvarc elektromosan egy soros RLC elemmel(R1, L1,C1) írható le, párhuzamos C0 csomagkapacitással. Az ESR (ekvivalens soros ellenállás) a rezgőrendszer mechanikai veszteségeit jelenti.

A C₁ és C₂ külső vezetékezéssel határozza meg az effektív terhelési kapacitást:

A meghatározott CL-től való eltérések a következőkhöz vezetnek

  • Szisztematikus frekvenciaeltolódás
  • Megváltozott fázisszög a szabályozási hurokban
  • csökkent negatív ellenállás-tartalék

Műszaki jelentőség:

  • Az effektív terhelési kapacitás határozza meg a kvarc tényleges működési frekvenciáját.
  • A C₁ és a C₂ sorosan hat, további parazita kapacitásokkal.
  • A kvarc mindig egy meghatározott terhelési kapacitáshoz van specifikálva (pl. 8 pF vagy 12 pF).

Fő üzenet:
A nem megfelelő terhelési kapacitás frekvenciaeltérésekhez és rosszabb tranziens viselkedéshez vezet.

3. indítási állapot és negatív ellenállás-tartalék (Indítási feltétel: |Rₙₑg| > Rₑₛᵣ)

(jobb felső ábra)

A szükséges indítási feltétel a Barkhausen-kritériumból következik:

  • Hurokerősítés ≥ 1
  • Fáziseltolódás = 0° (vagy 360°)

Az impedancia modellben ez a következőre csökken:

A robosztus konstrukciókhoz biztonsági tartalék ajánlott:

Az autóipari alkalmazásokban a következőkre van szükség:

A tartalék elégtelenségének következményei:

  • meghosszabbodott, instabil indítási idő
  • hőmérsékletfüggő nem-lengés
  • indítási problémák alacsony tápfeszültségnél

.

Ez az egyszerű egyenlőtlenség leírja az alapvető indítási feltételt.

<p

<p>Technikai jelentése:

  • A negatív bemeneti ellenállás értékének nagyobbnak kell lennie, mint a kristály ESR-jének.
  • Ha ez a feltétel nem teljesül, a kristály nem, vagy csak megbízhatatlanul fog oszcillálni.
  • A modern, alacsony fogyasztású MCU-k gyakran kisebb -Rₙₑg-gel rendelkeznek, mint a régebbi konstrukciók.

Magállapítás:
Az alacsony ESR-rel rendelkező kristályok elengedhetetlenek a biztonságos oszcillációhoz az oszcillátor fokozatban.

>Minden általunk szállított oszcillátorkristály az exkluzív LRT technológiával (Low ESR Resonator Technology) rendelkezik. Innovatív LRT rezonáns kristályaink a kialakításuknál fogva nagyon alacsony ESR értékekkel rendelkeznek (+25°C-on és a megfelelő megadott hőmérséklet-tartományban), így az áramkör tervezőjének nagy tranziens válaszadási tartalékot kínálnak, és mindig, minden körülmények között nagyon gyorsan és nagyon biztonságosan használhatók az áramkörben.

 

Bővebben itt olvashat: Negatív bemeneti ellenállás -Rneg és tranziens válaszbiztonsági tartalék ellenőrzése

4. a meghajtási szint időbeli szerkezete

(bal alsó ábra)

Ez a görbe a rezgés amplitúdójának időbeli felépülését mutatja a bekapcsolás után.

A bekapcsolás után az oszcillátor a zajtartományban indul. Az oszcillációs amplitúdó exponenciálisan növekszik a következők szerint:

mivel a τ időállandó a negatív nyereség és veszteségek különbségével határozható meg.

Hajtási szinthatárok:

  • Felső határ a kvarc mechanikai terhelhetősége miatt
  • alsó határ a stabilizáláshoz szükséges energiaellátás miatt

A túl magas meghajtószint felgyorsítja az öregedést és a driftet, a túl alacsony pedig rontja a jittert és az indítási viselkedést

.

Technikai jelentősége:

  • Az oszcilláció kezdetben nagyon kicsi, és exponenciálisan növekszik.
  • Az állandósult meghajtószint az erősítés és a veszteségek egyensúlyából adódik.
  • A túl magas meghajtószint károsíthatja a kristályt, a túl alacsony meghajtószint megnehezíti az indítást.

Megállapítás:
A megfelelően méretezett oszcillátor gyorsan indul és a kristályt a megengedett teljesítménytartományon belül működteti.

 

Bővebben itt olvashat: A meghajtószint és a kristályáram mérése / A kristályoszcillátor indulási idejének mérése

5 Parazita kapacitások és hatásaik

(középső alsó ábra)

A parazita kapacitásokat a következők okozzák

  • IC csapok (jellemzően 1-3 pF)
  • Vezetősávok (≈ 0,5 - 2 pF)
  • Forrasztópadok és a ház

Ezek a kapacitások:

  • növelik az effektív terhelési kapacitást
  • csökkentik a -Rneg
  • eltolják az optimális működési pontot

Az alacsony megadott CL értékű kialakítások különösen kritikusak, mivel a parazita hatások itt erős százalékos hatást gyakorolnak. Az akkumulátoros alkalmazásokban a megfelelő IC-gyártók általában alacsony terhelési kapacitással rendelkező SMD-kristályokat specifikálnak. MHz-es kristály tip. 8 pF. 32,768 kHz-es kristály legfeljebb 4 pF. Ilyen alkalmazásokban célszerű a C₁ és C₂ külső áramköri kapacitásoknál max. 1%-os tűrést választani. Ez nagymértékben csökkentheti a kvarc működési frekvenciájára gyakorolt parazita hatásokat.

Műszaki jelentőség:

  • A parazita kapacitások akaratlanul növelik az effektív terhelési kapacitást.
  • Befolyásolják a kristály frekvenciáját, a tranziens válaszidőt és a megbízhatóságot, valamint a negatív ellenállás-tartalékot.
  • Különösen kritikusak az alacsony CL kristályoknál (< 10 pF).

Kulcsfontosságú üzenet:
A terhelési kondenzátorok/külső áramköri kapacitások méretezésekor mindig figyelembe kell venni a parazita kapacitásokat.

 

Bővebben itt: Külső C1/C2 kapacitások méretezése és Cstray meghatározása / Cpar parazita kapacitások meghatározása a nyomtatott áramköri lapon

6. az elrendezés hatása az oszcillátor stabilitására

(jobb alsó ábra)

Ez a sematikus ábra az ajánlott elrendezési elveket mutatja. A NYÁK elrendezés nagyobb hatással van a kristály viselkedésére az áramkörben, mint azt gyakran feltételezik.

Műszaki jelentősége:

  • A kristályt és a terhelési kondenzátorokat nagyon közel kell csatlakoztatni az IC-hez.
  • Rövid, szimmetrikus nyomvonalak
  • Ne legyenek jelek vagy földsíkok a kristály alatt
  • Dedikált, tiszta földelési útvonal

Kulcsfontosságú üzenet:
A rossz elrendezés még egy optimálisan kiválasztott kristályt is használhatatlanná tehet.

 

Bővebben itt olvashat: Layout-ellenőrzés a kész lapon - a jitter, az EMC és az indítási viselkedés ellenőrzése

7. összefoglaló:

Az ábra szemlélteti, hogy egy kristályoszcillátor működése nemcsak magától a kristálytól függ, hanem az IC oszcillátor, az ESR, a terhelési kapacitás, a parazita hatások és az elrendezés közötti kölcsönhatástól is.

A robusztus oszcillátor tervezéséhez a következő feltételeknek kell teljesülniük:

  • Kvarc aalacsony ESRválassza ki a címet.
  • a megfelelő negatív ellenállás-tartalék biztosítása érdekében
  • A terhelési kapacitások reális kiszámítása
  • Következetesen optimalizálja az elrendezést

Kulcsfontosságú üzenet:

A kvarcnak nem csak az IC specifikációnak kell megfelelnie, hanem jelentősen alacsonyabbnak kell lennie, hogy megbízhatóan kompenzálja a folyamat-, hőmérséklet- és öregedési hatásokat.

Vagy egyszerűen hívja fel szakembereinket. Teljes körű támogatást kap tőlünk a tervezéshez. Az Ön sikere a mi célunk!

Telefonos kapcsolat

Frekvencia szakértőink az Ön rendelkezésére állnak

Hívjon most

Írjon nekünk

Küldjön nekünk egy e-mailt - szívesen segítünk Önnek.

Írjon e-mailt most
Webshop